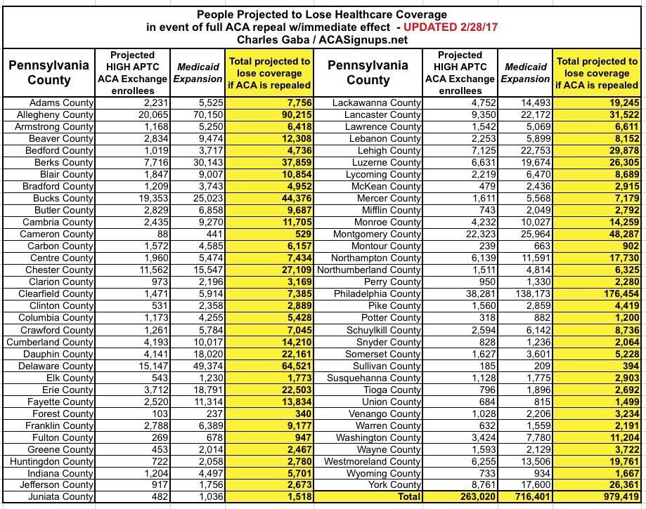
Pennsylvania: 10,000 *more* would lose coverage post-ACA repeal than just a month ago.
Over the past month or so, I've been tallying up the number of people who would lose their healthcare coverage if and when the GOP actually does proceed with repealing the Affordable Care Act, breaking the totals out by both County and Congressional District in every state.
While this project has received high praise as a useful resource, one problem with it is that the numbers aren't static--between the high churn rate of the individual market and Medicaid, as well as the fact there's no limited enrollment period for Medicaid (you can sign up year-round), the enrollment figures are constantly changing.
Case in point: As of January 20th,, roughly 706.000 Pennsylvanians were enrolled in ACA Medicaid expansion. As of February 17th that number had increased to over 716,000.
I don't have a county-level breakout of the updated number, but I'm assuming that each county/congressional district has increased roughly proportionately:






